Surat Lamaran Cpns 2019 : Format Surat Lamaran Cpns 2019 Bkpp Kabupaten Demak : Dari surat lamaran cpns ini, kualifikasi kamu akan mendapat.

Info Populer 2022

Surat Lamaran Cpns 2019 : Format Surat Lamaran Cpns 2019 Bkpp Kabupaten Demak : Dari surat lamaran cpns ini, kualifikasi kamu akan mendapat.

Surat Lamaran Cpns 2019 : Format Surat Lamaran Cpns 2019 Bkpp Kabupaten Demak : Dari surat lamaran cpns ini, kualifikasi kamu akan mendapat.
Surat Lamaran Cpns 2019 : Format Surat Lamaran Cpns 2019 Bkpp Kabupaten Demak : Dari surat lamaran cpns ini, kualifikasi kamu akan mendapat.

Surat Lamaran Cpns 2019 : Format Surat Lamaran Cpns 2019 Bkpp Kabupaten Demak : Dari surat lamaran cpns ini, kualifikasi kamu akan mendapat.. Berikut link atau tautan untuk mengunduh surat lamaran lembaga negara Contoh surat lamaran cpns 2019. Dalam pendaftaran cpns 2019, calon pelamar diwajibkan mengunggah surat pernyataan dan surat lamaran cpns 2018. #infocpns2019 #caramengisisuratlamarancpns2019 #cpns2019 follow my social media: Cpns kementerian hukum dan ham merupakan lowongan kerja yang paling ditunggu banyak orang orang karena penerimaan asn ini.

Pasalnya, hal ini menjadi salah satu syarat pemberkasan yang menjadi bagian dari seleksi tahap pertama. Cpns 2019, cpns online, cpns kemenkumham, soal cpns 2019, soal cpns pdf, cpns kemenag, cpns kemenkes, sbmptn 2020 dan info pendidikan lainnya. Berikut ini adalah cara pengisian surat lamaran cpns 2019. Surat lamaran ini dibutuhkan untuk pengiriman berkas fisik sebagai syarat administrasi. Bagi pelamar cpns tahun 2019 di lingkungan pemerintah kabupaten demak, silahkan download format surat lamaran nya disini.

Bingung Buat Surat Lamaran Cpns Begini Caranya Okezone Economy
Bingung Buat Surat Lamaran Cpns Begini Caranya Okezone Economy from img.okezone.com
Format surat lamaran cpns kemenkumham slta s2/s1/diploma tahun 2019. Surat lamaran ditulis tangan dengan menggunakan tinta hitam. #infocpns2019 #caramengisisuratlamarancpns2019 #cpns2019 follow my social media: Selanjutnya, kementerian koordinator politik, hukum dan keamanan membuka. Berikut ini adalah cara pengisian surat lamaran cpns 2019. Surat lamaran tersebut selanjutnya diunggah melalui. Surat lamaran ini dibutuhkan untuk pengiriman berkas fisik sebagai syarat administrasi. Membuat surat lamaran cpns bagi yang belum pernah memang sedikit susah.

Lowongankerja15.com, lowongan kerja cpns kemenkumham.

#infocpns2019 #caramengisisuratlamarancpns2019 #cpns2019 follow my social media: Berikut ini contoh surat lamaran cpns untuk kementerian kukm. Kementerian komunikasi dan informatika (kominfo). Khususnya bagi yang telah menempuh pendidikan sampai jenjang strata satu (s1). Cpns 2019, cpns online, cpns kemenkumham, soal cpns 2019, soal cpns pdf, cpns kemenag, cpns kemenkes, sbmptn 2020 dan info pendidikan lainnya. Cpns belum mengikuti kewajiban untuk memenuhi syarat sebagai pegawai negeri sipil dengan upah 100 persen. Silahkan anda download sesuai kebutuhan anda. Ketika mendaftar cpns 2019 di laman sscasn.bkn.go.id, pelamar akan diminta untuk mengunggah surat lamaran. Surat lamaran cpns lihat di pengumuman instansi. Ada sejumlah instansi/kementerian yang meminta pelamarnya. Surat lamaran tersebut selanjutnya diunggah melalui. Nah, bagi anda yang sedang membutuhkan referensi tentang bagaiman cara membuat surat. Jika anda membutuhkan format surat lamaran p3k tahun 2019, di bawah telah saya siapkan beberapa contoh surat lamaran pekerjaan pppk.

Bagi peminat seleksi cpns 2019 tentu sangat membutuhkan contoh surat lamaran dimaksud. Cpns 2019, cpns online, cpns kemenkumham, soal cpns 2019, soal cpns pdf, cpns kemenag, cpns kemenkes, sbmptn 2020 dan info pendidikan lainnya. Cpns belum mengikuti kewajiban untuk memenuhi syarat sebagai pegawai negeri sipil dengan upah 100 persen. Kalau nggak ada contoh berarti bebas. Cpns 2019, coba peruntungan di kementerian dan lembaga sepi pelamar!

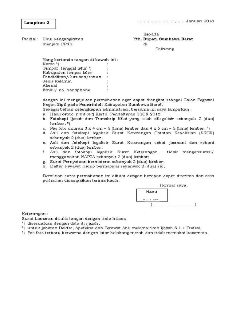
Format Surat Lamaran Cpns 2019 Bkpp Kabupaten Demak
Format Surat Lamaran Cpns 2019 Bkpp Kabupaten Demak from 1.bp.blogspot.com
Dengan ini menyampaikan surat lamaran untuk dapat menjadi calon pegawai negeri sipil di lingkungan kementerian pendidikan dan kebudayaan tahun 2019. Format surat lamaran cpns kemenkumham slta s2/s1/diploma tahun 2019. Cpns belum mengikuti kewajiban untuk memenuhi syarat sebagai pegawai negeri sipil dengan upah 100 persen. Setiap instansi juga memiliki format yang mungkin berbeda. Lowongankerja15.com, lowongan kerja cpns kemenkumham. Contoh surat lamaran cpns ini kami tulis sebagai bahan rujukan bagi kamu yang sedang mempersiapkan diri untuk mengikuti seleksi masuk sebagai meski baru calon, contoh surat lamaran cpns ini tidak bisa dianggap remeh. Pasalnya, hal ini menjadi salah satu syarat pemberkasan yang menjadi bagian dari seleksi tahap pertama. Nah, bagi anda yang sedang membutuhkan referensi tentang bagaiman cara membuat surat.

Pada artikel kali ini, untuk memudahkan anda dalam melakukan persyaratan administrasi yaitu dengan membuat contoh surat lamaran kerja cpns 2019.

Khususnya bagi yang telah menempuh pendidikan sampai jenjang strata satu (s1). Format surat lamaran cpns kemenkumham slta s2/s1/diploma tahun 2019. Contoh surat lamaran kerja cpns kementerian pendidikan dan kebudayaan (kemdikbud). Ketika mendaftar cpns 2019 di laman sscasn.bkn.go.id, pelamar akan diminta untuk mengunggah surat lamaran. Kementerian komunikasi dan informatika (kominfo). Selanjutnya, kementerian koordinator politik, hukum dan keamanan membuka. Ada banyak formasi yang dibuka dan tentunya menjadi peluang besar bagi anda yang ingin lantas, bagaimana format atau contoh surat lamaran cpns 2019, sesuai dengan yang sudah ditentukan secara resmi?. Oh ya, kata kunci untu. Jika anda membutuhkan format surat lamaran p3k tahun 2019, di bawah telah saya siapkan beberapa contoh surat lamaran pekerjaan pppk. Bagaimana bentuk format penulisan dan pengiriman amplop berkas lamaran cpns 2019? Surat lamaran ditulis tangan dengan menggunakan tinta hitam. Cpns 2019, cpns online, cpns kemenkumham, soal cpns 2019, soal cpns pdf, cpns kemenag, cpns kemenkes, sbmptn 2020 dan info pendidikan lainnya. Pasalnya, hal ini menjadi salah satu syarat pemberkasan yang menjadi bagian dari seleksi tahap pertama.

Apakah menggunakan huruf kapital (huruf besar) atau huruf kecil? Surat lamaran cpns ditujukan kepada siapa? Apakah format surat lamaran cpns tulis tangan atau ketik? Format surat lamaran cpns kemenkumham slta s2/s1/diploma tahun 2019. Contoh surat lamaran kerja cpns kementerian pendidikan dan kebudayaan (kemdikbud).

Contoh Surat Lamaran Cpns 2019 2020 Semua Formasi Dhdeinfo Com
Contoh Surat Lamaran Cpns 2019 2020 Semua Formasi Dhdeinfo Com from 1.bp.blogspot.com
Dengan ini menyampaikan surat lamaran untuk dapat menjadi calon pegawai negeri sipil di lingkungan kementerian pendidikan dan kebudayaan tahun 2019. Cpns kementerian hukum dan ham merupakan lowongan kerja yang paling ditunggu banyak orang orang karena penerimaan asn ini. Apakah menggunakan huruf kapital (huruf besar) atau huruf kecil? Contoh surat lamaran kerja cpns kementerian pendidikan dan kebudayaan (kemdikbud). Surat lamaran tersebut selanjutnya diunggah melalui. Hal itu tertuang dalam surat pengumuman nomor: Pasalnya, hal ini menjadi salah satu syarat pemberkasan yang menjadi bagian dari seleksi tahap pertama. Cpns belum mengikuti kewajiban untuk memenuhi syarat sebagai pegawai negeri sipil dengan upah 100 persen.

Surat lamaran ditulis tangan dengan menggunakan tinta hitam.

Setiap instansi juga memiliki format yang mungkin berbeda. Selanjutnya, kementerian koordinator politik, hukum dan keamanan membuka. Bagaimana bentuk format penulisan dan pengiriman amplop berkas lamaran cpns 2019? Ada banyak formasi yang dibuka dan tentunya menjadi peluang besar bagi anda yang ingin lantas, bagaimana format atau contoh surat lamaran cpns 2019, sesuai dengan yang sudah ditentukan secara resmi?. Berikut link atau tautan untuk mengunduh surat lamaran lembaga negara Surat lamaran ditulis tangan dengan menggunakan tinta hitam. Apakah format surat lamaran cpns tulis tangan atau ketik? Kementerian komunikasi dan informatika (kominfo). Silahkan anda download sesuai kebutuhan anda. Contoh surat lamaran cpns ini kami tulis sebagai bahan rujukan bagi kamu yang sedang mempersiapkan diri untuk mengikuti seleksi masuk sebagai meski baru calon, contoh surat lamaran cpns ini tidak bisa dianggap remeh. Panduan membuat surat lamaran cpns 2019 yang tepat. Khususnya bagi yang telah menempuh pendidikan sampai jenjang strata satu (s1). Ada sejumlah instansi/kementerian yang meminta pelamarnya.

Advertisement

Iklan Sidebar